任何高分子材料的发展,很关键的一点在于单体技术的发展,有机硅单体是生产各种各样有机硅材料的基础原料。有机硅工业的特点是集中的单体生产和分散的产品加工。单体的生产水平直接反映有机硅工业的发展水平。工业用有机硅单体大体包括含氯硅烷、环硅氧烷、烷氧基硅烷和酰氧基硅烷四种。
南京硅创新材料有限公司为客户提供含氯硅烷、苯基氯硅烷、环硅氧烷在内的多种有机硅单体材料,如您需要请随时联系!
有机硅单体
-
山河作序,同心共征途 2025年硅创-昊威“畅游青甘环线”团建之旅圆满落幕!
南京硅创新材料有限公司自2017年成立以来,始终秉承着“ 担当,团结,感恩,责任 ”的发展理念,以专业、真诚服务每一位客户,业务发展范围遍布海内外,在全球有机硅行业里逐步建立了良好的口碑。为增进团队凝聚力,让大家在忙碌的工作之余舒缓身心,公司组织开展了为期7天“畅游青甘环线”团建之旅活动。让我们暂别工位,踏上青藏高原,感受山河之美。
当车轮碾过3000公里青甘大地,当祁连山的风拂过并肩前行的衣角,我们以七天光阴在天地间镌刻下独属于硅创&昊威的壮阔诗篇。从青海湖醉人的蔚蓝到敦煌大漠的金黄,从茶卡盐湖的幻境倒影到张掖丹霞的炽热层叠,这场穿越时空的旅程让23颗心在壮美山河中同频共振。2025-06-18
-
Siwin——浙江诸暨工厂
浙江诸暨密封胶工厂主要负责硅酮系列,厌氧系列,MS密封胶,PU系列,环氧和丙烯酸系列胶黏密封剂的生产,占地超过10000平方米,2条自动化生产线,3条包装线,年产能10000吨。
2025-03-11
-
Siwin——武汉研发中心
公司于2022年,新建了800㎡研发中心,配备了先进的全套有机硅产品的分析,合成设备、建立了2个合成实验室,1个应用实验室,1个中试车间,旨在不断提升自我竞争力,提高客户服务的满意度。
2025-03-11
新闻资讯
-
Siwin-D5
十甲基环五硅氧烷
CAS号:541-02-6
产品牌号:Siwin-D5
规格:≥99%2025-05-12 -
Siwin-D4
八甲基环四硅氧烷
CAS号:556-67-2
产品牌号:Siwin-D4
规格:≥99%2025-05-12 -
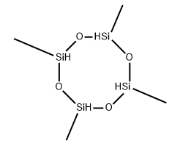
Siwin-D4H
四甲基环四硅氧烷
CAS号:2370-88-9
产品牌号:Siwin-D4H2025-05-12 -
Siwin-M3
三甲基氯硅烷
CAS号:75-77-4
产品牌号:Siwin-M32025-05-12 -
Siwin-M2
二甲基二氯硅烷
CAS号:75-78-5
产品牌号:Siwin-M22025-05-12 -
Siwin-M1
甲基三氯硅烷
CAS号:75-79-6
产品牌号:Siwin-M12025-05-12
联系我们
公司地址:江苏省南京市江北新区星火路19号星智汇商务花园7栋501
邮编:210000
电话:+86 25 58205825
邮箱: inquiry@si-win.com